
Учебник по алгебре за 8 класс Ю.Н. Макарычева уже много лет оставляет за собой лидирующее место по популярности в России. Эта книга лучше остальных подходит для изучения алгебры в 8 классе, темы которой достаточно сложные для многих детей.
Решебник по алгебре предлагает новый способ проверки домашнего задания для родителей и позволяет школьникам почувствовать себя более уверенными, сдавая на проверку учителю тетрадь с домашней работой. Правильный ответы и подробные решения всех номеров помогут своевременно найти ошибки, понять, как их исправить.
Издание состоит из следующих разделов:
- Рациональные дроби
- Квадратные корни
- Квадратные уравнения
- Неравенства
- Степень с целым показателем. Элементы статистики
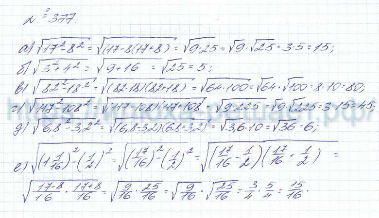
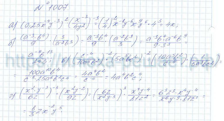
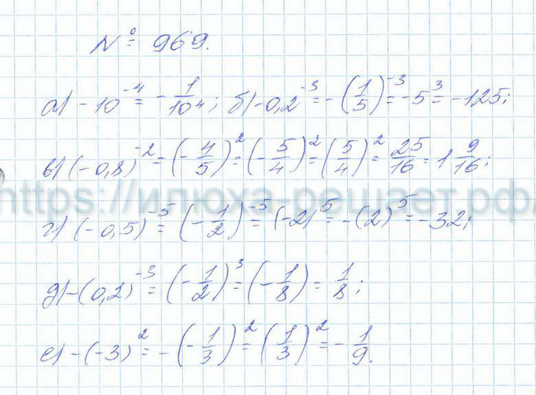
Выберите номер из учебника, чтобы увидеть ответы
ГДЗ по алгебре к учебнику Макарычева – незаменимое пособие на столе каждого ребенка в наше время. На нашем сайте предложен свой вариант издания, и вот некоторые из его плюсов:
- Доступность в любое время;
- Бесплатный доступ из любой точки мира;
- Отсутствие подписок и регистраций;
- Проверенные решения с правильным ответом.
Учебник по алгебре за 8 класс Ю.Н. Макарычева содержит в себе следующие и темы для изучения:
- Рациональные дроби и их свойства
- Сумма и разность дробей
- Произведение и частное дробей
- Действительные числа
- Арифметический квадратный корень
- Свойства арифметического квадратного корня
- Применение свойств арифметическогоквадратного корня
- Квадратное уравнение и его корни
- Дробные рациональные уравнения
- Числовые неравенства и их свойства
- Неравенства с одной переменной и их системы
- Степень с целым показателем и её свойства
- Элементы статистики