Алгебра 8 класс Мордкович

Учебник по алгебре за 8 класс под авторством А.Г. Мордковича содержит в себе много сложных заданий и номеров. Справиться с ними поможет ГДЗ к учебнику по алгебре за 7 класс Мордкович.

Мы подготовили свой решебник для школьников и родителей, который будет лучшим помощником в подготовке домашней работы. Выбирайте тему, номер, смотрите готовое письменное или подробное видео решение бесплатно.

§ 1. Основные понятия

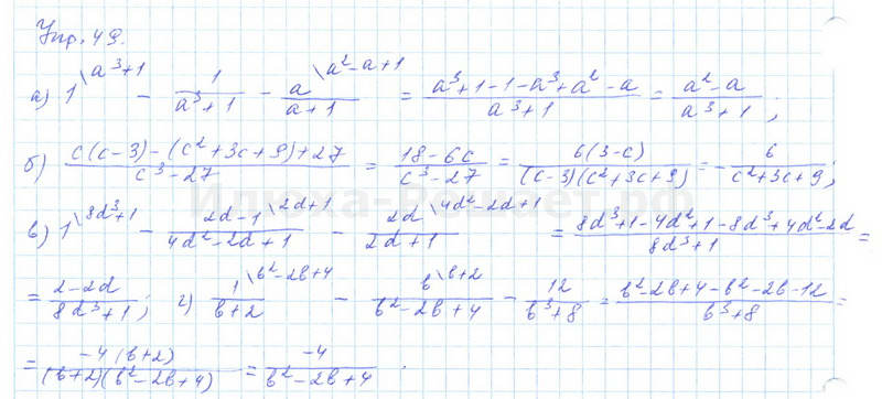
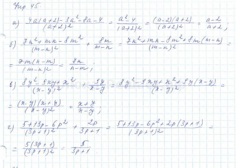
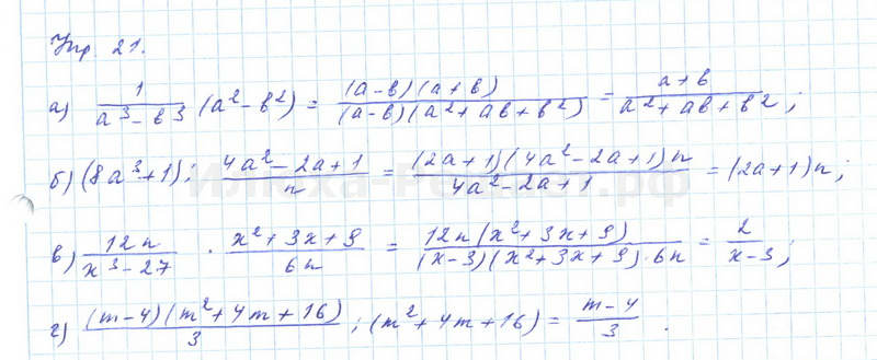
§ 2. Основное свойство алгебраической дроби

§ 3. Сложение и вычитание алгебраических дробей с одинаковыми знаменателями

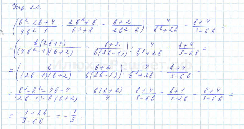
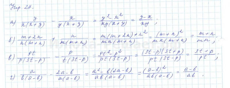
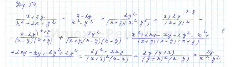
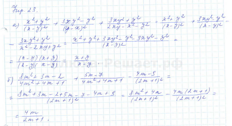
§ 4. Сложение и вычитание алгебраических дробей с разными знаменателями

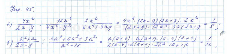
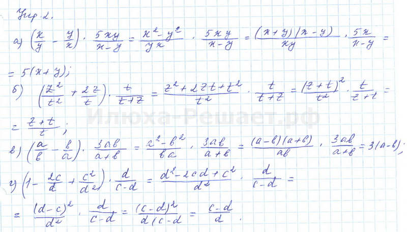
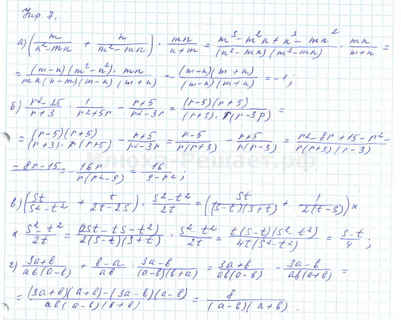
§ 5. Умножение и деление алгебраических дробей. Возведение алгебраической дроби в степень

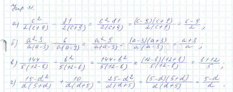
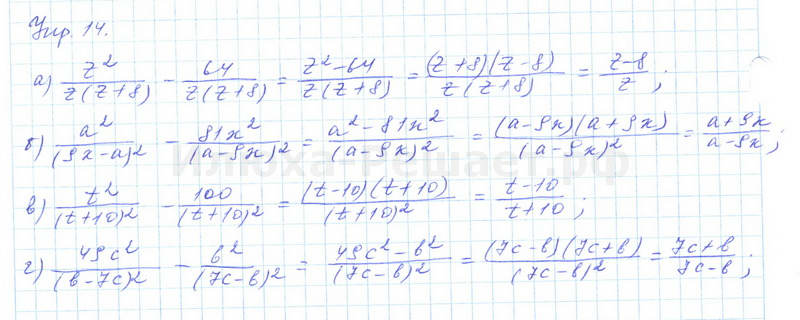
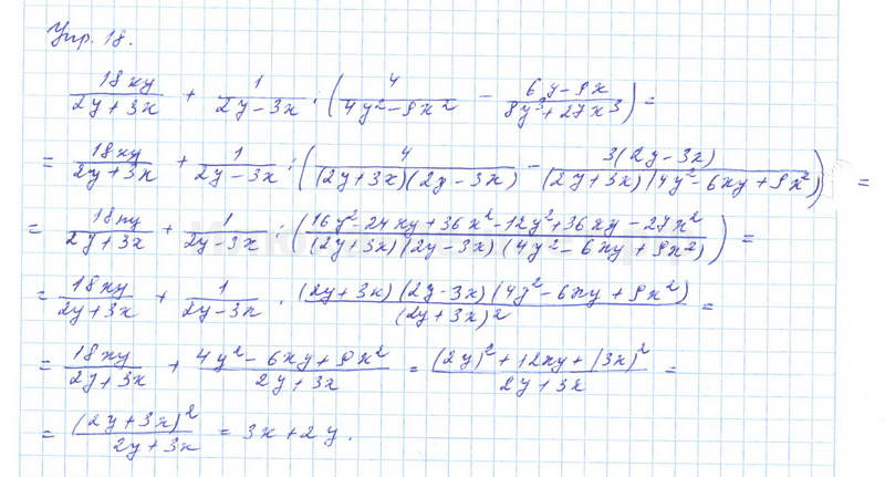
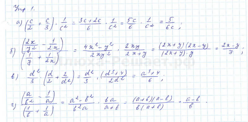
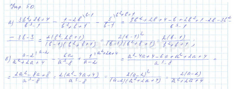
§ 6. Преобразование рациональных выражений

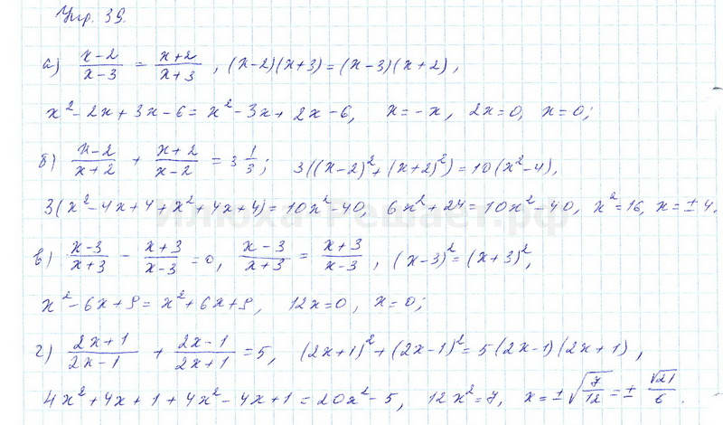
§ 7. Первые представления о решении рациональных уравнений

§ 8. Степень с отрицательным целым показателем

§ 9. Рациональные числа

§ 10. Понятие квадратного корня из неотрицательного числа

§ 11. Иррациональные числа

§ 12. Множество действительных чисел

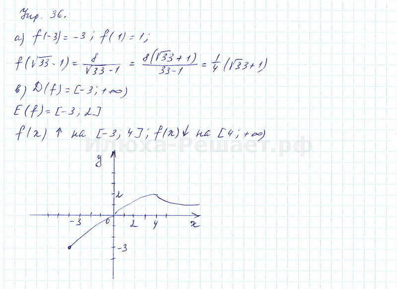
§ 13. Функция у = yfxj ее свойства и график

§ 14. Свойства квадратных корней

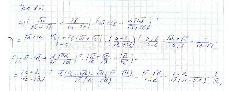
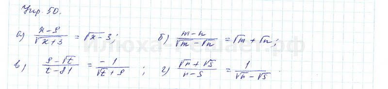
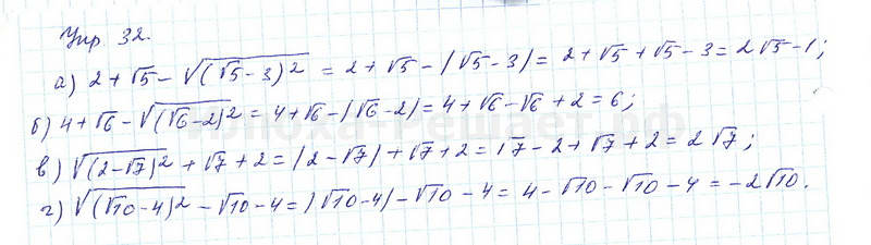
§ 15. Преобразование выражений, содержащих операцию извлечения квадратного корня

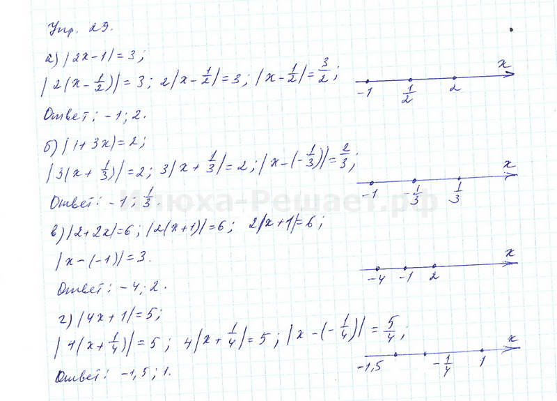
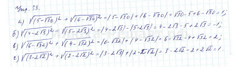
§ 16. Модуль действительного числа

§ 17. Функция у = kx2, ее свойства и график

§ 18. Функция у = —, ее свойства и график

§ 19. Как построить график функции у = f(x + /), если известен график функции у = f(x)

§ 20. Как построить график функции у = f(x) + т, если известен график функции у = f(x)

§ 21. Как построить график функции у = f(x + Z) 4- /га, если известен график функции у = f(x)

§ 22. Функция у = ах2 + Ьх + с, ее свойства и график

§ 23. Графическое решение квадратных уравнений

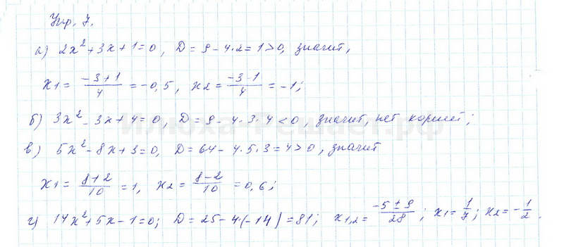
§ 24. Основные понятия

§ 25. Формулы корней квадратных уравнений

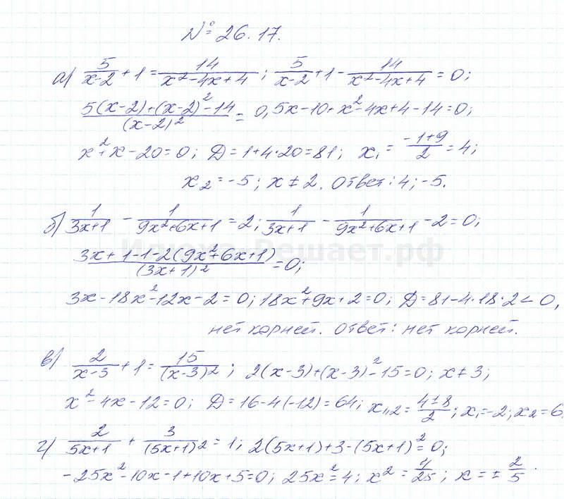
§ 26. Рациональные уравнения

§ 27. Рациональные уравнения как математические модели реальных ситуаций

§ 28. Еще одна формула корней квадратного уравнения

§ 29. Теорема Виета

§ 30. Иррациональные уравнения

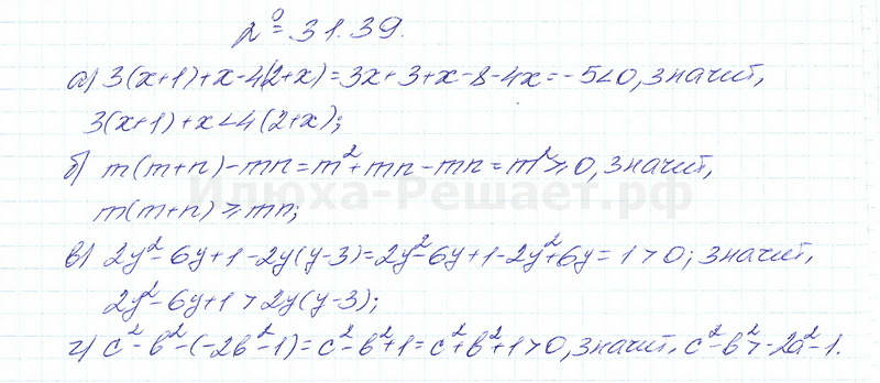
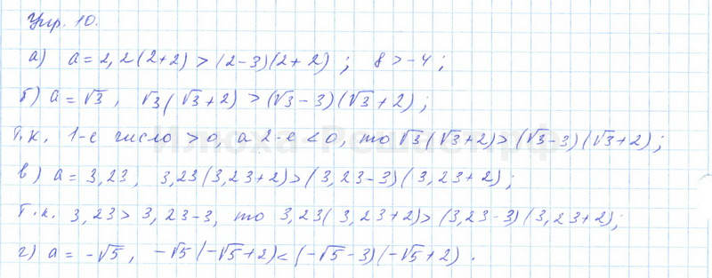
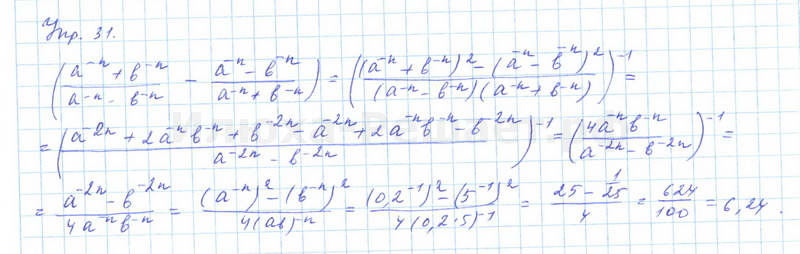
§ 31. Свойства числовых неравенств

§ 32. Исследование функций на монотонность

§ 33. Решение линейных неравенств

§ 34. Решение квадратных неравенств

§ 35. Приближенные значения действительных чисел

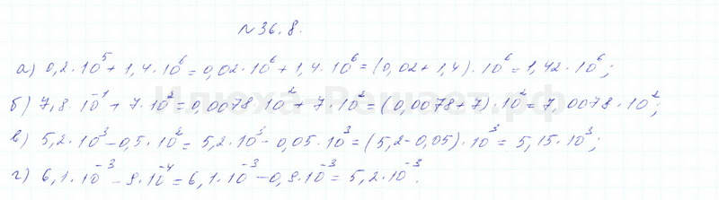
§ 36. Стандартный вид положительного числа

Смотреть все решебники по предмету: Алгебра